On Signals and Noise
Have you ever walked out of a classroom as a student wondering what the hell went on there for the past hour? Or, if you are a working professional, have you ever walked out of a meeting wondering exactly the same thing?
No matter who you are, one of the two has happened to you at some point in your life. We've all had our share of monumentally useless meetings/classes. Somebody has droned on endlessly about something, and after an eternity of that droning, we're still not sure what that person was on about. To the extent that we still don't know what the precise point of the meeting/class was.
One of the great joys in my life as a person who tries to teach statistics to students comes when I say that if you have experienced this emotion, you know what statistics is about. Well, that's a stretch, but allow me to explain where I'm coming from.
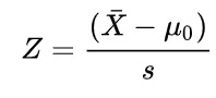
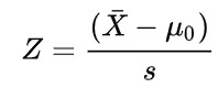
Don't be scared by looking at that formula. We'll get to it in a bit.
Take your mind back to the meeting/class. When you walked out of it, did you find yourself plaintively asking a fellow victim, "But what was the point?"
And if you are especially aggrieved, you might add that the fellow went on for an hour, but you're still not sure what that was all about. What you're really saying is that there was a lot of noise in that meeting/class, but not nearly enough signal.
You're left unsure about the point of the whole thing, but you and your ringing ears can attest to the fact that a lot was said.
Or think about a phone call, or a Whatsapp call. If there is a lot of disturbance on the call, it is likely that the call won't last for very long, and you may well be unclear about what the other person on the call was trying to say.
What you're really saying is that there was a lot of noise on the call, but not nearly enough signal.
That is what the signal-to-noise ratio is all about. The clearer the signal, the better it is. The lower the noise, the better it is. And the ratio is simply both things put together.
A class that ends with you being very clear about what the professor said is a good class. A good class is "high" on the signal that the professor wanted to leave you with. And if it is a class in which the professor didn't deviate from the topic, didn't wander down side-alleys and didn't spend too much time cracking unnecessary jokes, it is an even better class, because it was "low" on disturbance (or to use another word that means the same thing as disturbance: noise).
That, you see, is all that the formula up there is saying. How high is the signal (x less mu), relative to the noise (sigma, or s). The higher the signal, and the lower the noise, the clearer the message from the data you are working with.
And it has to be both! A clear signal with insane amounts of noise ain't a good thing, and an unclear signal with next to no noise is also not a good thing.
And all of statistics can be thought of this way: what is the signal from the data that I am examining, relative to the noise that is there in this dataset. That is one way to understand the fact that the formula can look plenty scary, but this is all it is really saying.
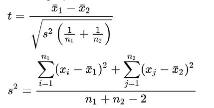
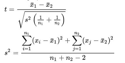
Even this monster, for example:
Looks scary, but in English, it is asking the same question: how high is the signal, relative to the noise. It's just that the formula for calculating the noise is exuberantly, ebulliently expansive. Leave all that to us, the folks who think this is fun. All you need to understand is the fact that this is what we're asking:
What is the signal, relative to the noise?
And finally speaking of noise, that happens to be the title of Daniel Kahneman's latest book. I have just downloaded it, and will get to it soon (hopefully). But before recommending to you that you should read it, I wanted to explain to you what the title meant.
And if you're wondering why I would recommend something that I haven't read yet, well, let me put it this way: it's Daniel Kahneman.


